Posty

Wyświetlanie postów z kwiecień, 2022

Powtórka przed próbnym egzaminem z arytmetyki - TERMIN do 5.05

PRZED TOBĄ KILKA PRZYGOTOWANIE DO PRÓBNEGO EGZAMINU .  ZACHĘCAM DO ROZWIĄZANIA ZADANIA  WERSJI ONLINE https://docs.google.com/forms/d/e/1FAIpQLSePDmtVC5O4J7nZVru-fu7gYs3fj535vGlAhhPxGFk0BHcQ9Q/viewform?usp=sf_link https://forms.office.com/Pages/ResponsePage.aspx?id=xsXj_GvbWke1YoSRh-6UtLTXqhb0ppVBtE7DoP00tPxUQlVXMFJHUFZXMjA2UFNFNzRXTFg1VkRISS4u ZADANIA Z POSZCZEGÓLNYCH TEMATÓW Liczby całkowite/liczby niecałkowite - Sortowanie według grup (wordwall.net)  - TRUDNE!!! Działania na liczbach całkowitych - Połącz w pary (wordwall.net)  - działania na liczbach całkowitych  dodawanie i odejmowanie liczb całkowitych - Połącz w pary (wordwall.net)   Matematyka- kolejność działań - Połącz w pary (wordwall.net)  - TRUDNE !! ! kolejność wykonywania działań - Połącz w pary (wordwall.net)  - ŁATWIEJSZE kl_ Oś liczbowa - Rysunek z opisami (wordwall.net)  - oś liczbowa Działania na potęgach - Połącz w pary (wordwall.net) Działania na potęgach - Znajdź parę (w...

POWTÓRKI ONLINE - pierwiastki

  Pierwiastki kwadratowe i sześcienne PRZYPOMNIENIE: ·         Pierwiastek kwadratowy   https://pistacja.tv/film/mat00317-pierwiastek-kwadratowy-wprowadzenie?playlist=253 ·         Pierwiastek sześcienny  https://pistacja.tv/film/mat00319-pierwiastek-szescienny-wprowadzenie?playlist=623   Wybierz poziom, który chcesz rozwiązać: 1 etap – najłatwiejsze zadania   https://szaloneliczby.pl/obliczanie-pierwiastkow/ rozwiąż test i zrób zdjęcie ekranu   na końcu, będzie tam twój wynik i ocena – oczywiście twoja ocena w Librusie, to będzie „+” za wykonane zadanie 2 etap – zadania o średnim poziomie trudności   http://www.math.edu.pl/testy,gimnazjum,pierwiastkowanie rozwiąż test i zrób zdjęcie ekranu   na końcu, będzie tam twój wynik i ocena – oczywiście twoja ocena w Librusie, to będzie „+” za wykonane zada...

POWTÓRKI ONLINE - potęgi

POTĘGA O WYKŁADNIU NATURALNYM  PRZYPOMNIENIE ·         Potęgowanie liczb z definicji https://www.youtube.com/watch?v=hxnE9m65MsM ·         Potęgowanie ułamków https://www.youtube.com/watch?v=dm8cUBnQ0RA ·         Iloczyn potęg o tych samych podstawach https://pistacja.tv/film/mat00301-mnozenie-poteg-o-tej-samej-podstawie?playlist=45 ·   Iloraz potęg o tych samych podstawach https://pistacja.tv/film/mat00302-dzielenie-poteg-o-tej-samej-podstawie?playlist=45 ·         Potęga potęgi https://pistacja.tv/film/mat00305-potega-potegi?playlist=45   Wybierz poziom, który chcesz rozwiązać:   1 etap – najłatwiejsze zadania   https://szaloneliczby.pl/obliczanie-poteg/ zrób zdjęcie podsumowania- to jest zadanie na „+” 2 etap – zadania o średnim poziomie trudności ...

Własności liczb i działania - ODPOWIEDZI

Obraz
 

POWTÓRKI ONLINE - działania na liczbach rzeczywistych

Obraz
  Działania na liczbach rzeczywistych ·         Wartość bezwzględna https://www.youtube.com/watch?v=MJ6vZOFjPT4 Wybierz poziom, który chcesz rozwiązać: 1 etap – najłatwiejsze zadania   http://www.math.edu.pl/testy,sp,dzialania-na-ulamkach rozwiąż test i zrób zdjęcie ekranu   na końcu, będzie tam twój wynik i ocena – oczywiście twoja ocena w Librusie, to będzie „+” za wykonane zadanie   lub https://www.matzoo.pl/klasa8/dzialania-na-ulamkach-dziesietnych_72_499 zdobądź 5 ananasów Dzisiaj wyślij zdjęcie ekranu z rozwiązanymi zadaniami i ananasami   2 etap – zadania o średnim poziomie trudności   https://www.matzoo.pl/klasa8/dzialana-na-ulamkach-zwyklych_72_498 zdobądź 5 ananasów Dzisiaj wyślij zdjęcie ekranu z rozwiązanymi zadaniami i ananasami     3 etap – najtrudniejsze zadania ...

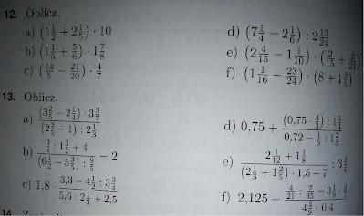
Działania na liczbach - TERMIN 28.04

Obraz
  TYM RAZEM WYNIKI PODANE SĄ RAZEM Z ZADANIAMI,  ABYŚ MÓGŁ SPRAWDZIĆ POPRAWNOŚĆ

POWTÓRKI ONLINE - działania na liczbach

     Powtórki z teorii           POJĘCIA ·         Podstawowe zbiory liczbowe: naturalne, rzeczywiste, nieujemne, … https://www.youtube.com/watch?v=DfTLI9Whi_0 ·          Wartość bezwzględna  https://www.youtube.com/watch?v=MJ6vZOFjPT4 Działania na liczbach całkowitych:  ·         Dodawanie   https://www.youtube.com/watch?v=oK1aEAVTxFw ·         Odejmowanie   https://www.youtube.com/watch?v=DklHvHy-Vd8 ·         Mnożenie i dzielenie   https://www.youtube.com/watch?v=GuWs5ZO3zfA ·         Kolejność wykonywania działań https://www.youtube.com/watch?v=Zg46l8c36H0 Działania na ułamkach:  Działania na ułamkach zwykłych o jednakowych mianownikach | Pi-stacja (pistacja.tv) Działania ...

Własności liczb i działania - TERMIN 21.04.22

Obraz